GDSA Framework
The Geologic Disposal Safety Assessment framework is a software toolkit used for the probabilistic performance assessment (PA) of systems used for deep geologic disposal of spent nuclear fuel from commercial power plants and high-level radioactive waste from defense programs. Storing nuclear waste in underground repositories, which are typically thousands of meters below the surface, is a concept that the U.S. and the international community support for long-term disposal of such waste.
Deep geologic disposal requires a process called post-closure performance assessment to analyze different scenarios and ensure that the release of radionuclide concentrations from the repository site will be within acceptable dose limits to individuals. It relies on computational simulations to understand the behavior of the stored waste, the engineered barrier systems and surrounding host rock over millions of years. These simulations capture a wide range of phenomena including groundwater flow and transport, radioactive decay of the waste, degradation of the waste form, corrosion of the waste packages, performance of any engineered barrier system, and more.
The GDSA framework integrates the following open-source software packages used for performance assessment of waste repositories, as shown in Figure 1:
- dfnWorks (https://dfnworks.lanl.gov/) generates three-dimensional discrete fracture networks used in flow and transport simulations, performs particle tracking, and offers graph analysis methods. Developed at Los Alamos National Laboratory, it has been used to study flow and transport in fractured media at scales ranging from millimeters to kilometers.
- CUBIT (https://cubit.sandia.gov/) is used for subsurface property generation and meshing.
- PFLOTRAN (https://pflotran.org/) is used for multiphysics subsurface reactive flow and transport simulation at scale; it includes multiphase flow and transport, heat conduction and convection, biogeochemical reactions, geomechanics and radionuclide decay and ingrowth.
- Dakota (https://dakota.sandia.gov) is used for uncertainty and sensitivity analysis. In the GDSA framework, Dakota provides sampling methods to generate ensembles of PFLOTRAN runs, leveraging evaluation concurrency and parallelism.
- ParaView (https://www.paraview.org/) and Python tools are used for postprocessing and visualization.
- NextGen Workflow (https://github.com/snl-dakota/dakota/releases) drives the framework to deploy these codes across heterogeneous high-performance computing resources, drive the simulation workflows, manage ensembles of runs, and manage/maintain appropriate file artifacts from the ensembles. It is packaged with the Dakota Graphical User Interface in the latest distributions.

Shale Reference Case

An example use case for the GDSA framework was the shale reference case. The shale reference case is a generic test case consisting of 48 runs which assumed a mined repository for commercial spent nuclear fuel located in a layered, low-permeability shale or argillaceous formation, as shown in Figure 2. A thin limestone aquifer was below the shale and a sandstone aquifer was above the shale. A second sandstone aquifer was at depth. A pressure gradient drove regional flow from west to east, left to right in the figure. The model included high-permeability layers such as silt, sandstone, and limestone beds above and below the shale host rock. Transport in the shale was primarily through diffusion.

The area analyzed for the shale reference case was 7,215 meters wide by 2,055 meters long by 1,200 meters high. Figure 3A shows a closeup of a slice at a specific width through the model and a slice at a specific depth through the repository. The repository, which contains waste packages, was located at a depth of 402.5 meters below the land’s surface, which was set as the top of the model. The numerical domain consisted of approximately 10 million unstructured grid cells with approximately half of the grid cells having finer resolution around the repository. There were 2,050 waste packages that each contained 37 assemblies of spent nuclear fuel from a pressurized water reactor. The emplacement drifts were backfilled with bentonite as a buffer, and the waste package center-to-center spacing was 30 meters, as seen in Figure 3B. Figure 3C shows the observation points that were located throughout the model within several material layers.
Sensitivity Analysis Study
A preliminary sensitivity study was performed in the shale reference case using the GDSA framework to define uncertain parameters generate samples of those parameters, run the PFLOTRAN shale model, and extract output quantities of interest.
In the shale reference case, a key output was an iodine radionuclide, iodine-129. Its concentration was tracked at several observation points in the sandstone and limestone regions out to 1 million years, as shown in Figure 4. The top image in Figure 4 shows the iodine-129 concentration 30,000 years into the future, and the bottom image shows the concentration 1 million years into the future. Because of the model complexity with 10 million grid cells and a timescale of 1 million years, each PFLOTRAN run took approximately 15 hours on 1,024 processors. This resulted in ~737K CPU hours for this study, which was run on the supercomputer Attaway.

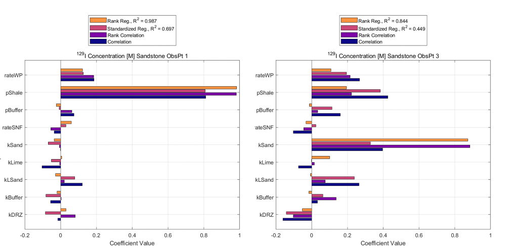
The shale reference case study uncertainty and sensitivity results are shown in Figure 5. Figure 5A highlights the variation in iodine-129 concentration at different locations in the sandstone and limestone. It shows that the concentration can vary by several orders of magnitude. Figure 5B shows the parameter rankings calculated using several approaches. In this case, the porosity of the shale dominates the iodine-129 concentration at observation point 1 in sandstone, but the sandstone permeability is more important at observation point 3.
![Figure 5a. Empirical cumulative distribution functions for the 129I concentration [M] at different observations points in the sandstone and limestone at 1 million years.](https://www.sandia.gov/app/uploads/sites/165/2025/11/06-Article-fig-5a.png)

The shale reference case study showcases how Sandia’s high-performance computing and HPC software such as Dakota, Next Gen Workflow, PFLOTRAN, provide key capabilities for the Department of Energy’s Office of Spent Fuel and Waste Disposition to assist with the uncertainties in spent nuclear fuel disposal. Deep geologic disposal performance assessments require simulating many realizations of systems with large spatial domains over long-time periods. The GDSA Framework’s integration techniques provide a streamlined approach to integrating the software needed to accomplish these assessments accurately, to ensure detailed data for scientists and decision makers on long term disposal of spent fuel and waste products. The shale reference case exemplifies the GDSA framework’s robust capabilities in addressing the complexities and uncertainties of deep geologic disposal, ultimately providing essential insights that inform safe and effective long-term management of spent nuclear fuel and high-level radioactive waste.